推薦資訊
Latest Information- 濕法激光粒度儀和干法激光粒度儀的區別 04-11
- 干法激光粒度儀的結構和原理 04-11
- Zeta電位及Zeta電位分析儀 04-10
- 激光粒度儀在鋰電池正極材料粒度檢測中的應用 04-10
- 提升鋰電池能量密度的方法研究 04-10
- 激光粒度分析儀用于脂肪乳注射液粒度的研究 04-10
- 水泥密度測試方法研究 04-10
聯系我們
Contact Us電話 : 15021562539
QQ : 619163093
郵箱 : sales@dwshanghai.com
網址 : http://www.tcit.com.cn
地址 : 上海嘉定區華江路348號B座226室
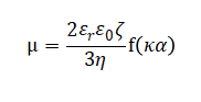
納米粒度儀BeNano 180 Zeta在石墨烯Zeta電位檢測中的應用
- 編輯:
百特BETTERSIZE
時間: 2024-02-26 10:16 瀏覽量: 111
相關新聞
- 聚丙烯酰胺Zeta電位表征及其在水處理中的應用分析 04-01
- 粒度分析中的分布表征:頻率分布與累積分布的技術解析 03-25
- 不同粒度測量方法的技術特點與應用考量 03-18
- 瀝青粒度分布分析及其在工藝優化中的應用 03-11
- 激光粒度分析技術在農藥質量控制中的應用價值 03-04
- 超越D50:深入理解體積平均徑D[4,3]與面積平均徑D[3,2] 02-25
- 理解顆粒粒度分布中的關鍵指標:D50、D10、D90及其應用 02-18
- 使用BeNano 180 Zeta Max分析不同pH條件下CMP拋光液的Zeta電位與粒徑變化 02-04
- 明膠溶液流變學特性的微流變分析研究 01-28
- 空心玻璃微珠抗壓強度評價方法研究:基于粒徑與真密度檢測的分析 01-21







滬公網安備31011402010444